• Предмет: Математика
  • Автор: tmJOKERtm
  • Вопрос задан 3 года назад

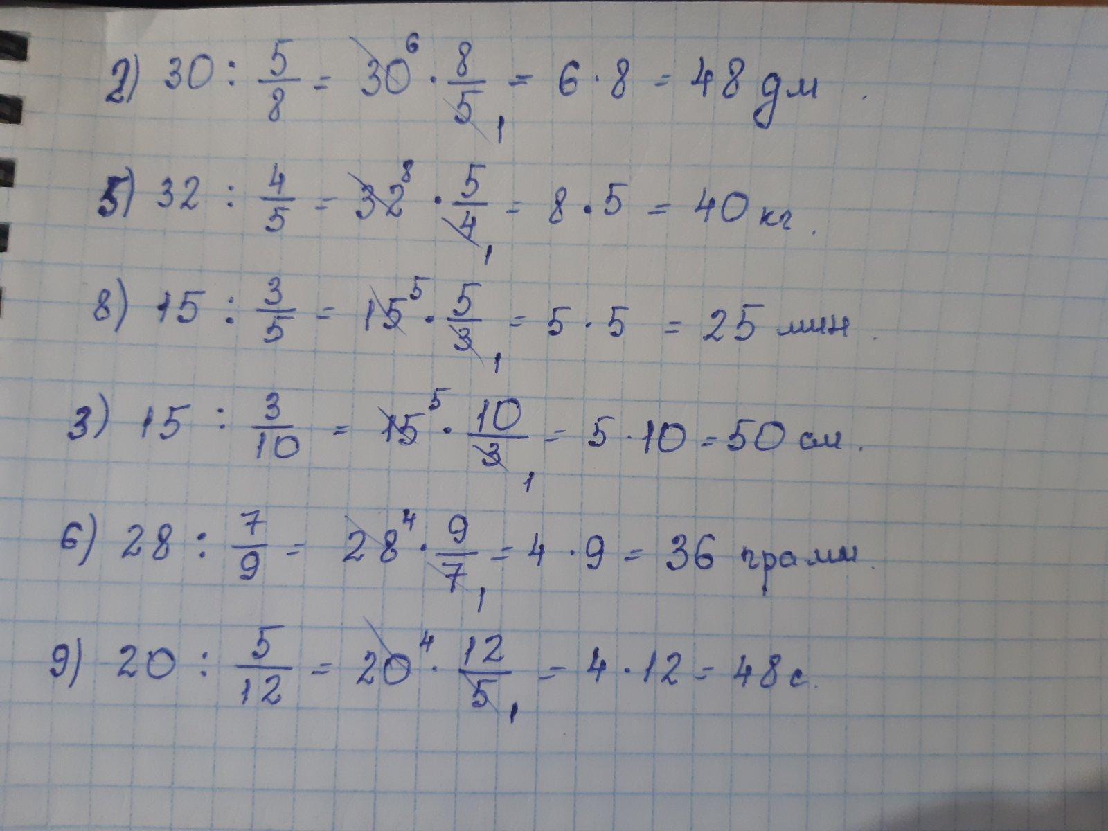
найдите величину по ее дроби
с решением например:
4/7 ее равны 16 м.
16:4/7=⁴16•7/4¹=4•7/1=28м.
(зачеркиваем 16 пишем сверху ⁴, зачеркиваем 4 и пишем сверху ¹)​

Приложения:

Ответы

Ответ дал: foverlord510
1

Ответ:

В файле.

Пошаговое объяснение:

Приложения:
Вас заинтересует