Ответы
Ответ дал:
0
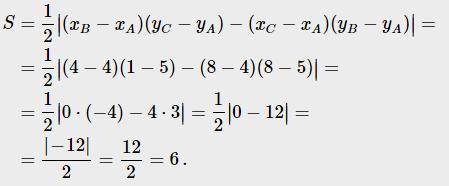
Ответ:6
Посмотри прикрепленный файл
Приложения:

jamesjanny30:
Спасибо!
Вас заинтересует
2 года назад
2 года назад
2 года назад
2 года назад
7 лет назад
7 лет назад
9 лет назад