• Предмет: Алгебра
  • Автор: dimagavriluk128
  • Вопрос задан 3 года назад

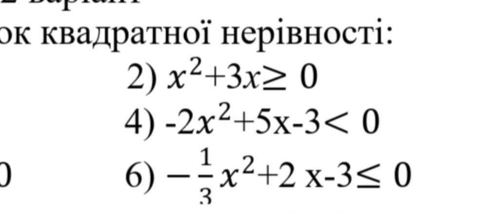
розв'язок квадратної нерівності 9 клас алгебра до завтра ​

Приложения:

Ответы

Ответ дал: kytanidze
0

Ответ:

Объяснение:

2)x(x+3)>=0      x∈(-∞ ;-3|∪|0;+∞)       4)2x²-5x+3>0 D=25+24=49 4)x1=0,5x2=-3 x∈(-∞;-3)∪(0,5;+∞) 6)освободившись от знаменателя получим x²-6x+9>=0 ⇔(x-3)²>=0 x∈(-∞;3|∪|3 +∞)


dimagavriluk128: спасибо
dimagavriluk128: я ща кину еще задания поможеш ?xD
Вас заинтересует