• Предмет: Химия
  • Автор: dimaivanitskii
  • Вопрос задан 3 года назад

Какая масса ацетилена затратится на получение бензола массой 16 грамм?

Ответы

Ответ дал: supersonichedgehog
2

Ответ:

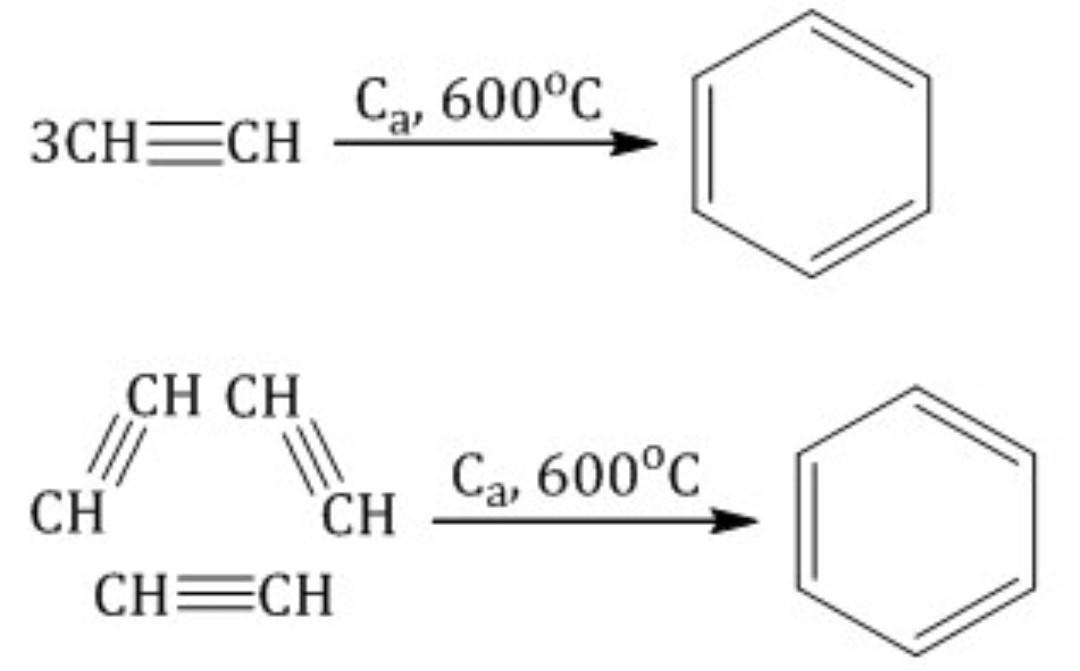
Бензол получают реакцией тримеризации ацетилена в присутствии активированного угля.

Вычислим n(C6H6)=m/M=16 г/ 78 г/моль=0,2 моль

M(C6H6)=78 г/моль

Через уравнение реакции находим n(C2H2).

x/3=0,2/1, отсюда x=0,2*3=0,6 моль

m=n*M; m(C2H2)=0,6 моль* 26 г/моль=15,6 г.

M(C2H2)=26 г/моль

Ответ: m(C2H2)=15,6 г.

Приложения:

dDeVoChKa: Добрый день! Если Вам не сложно - решите, пожалуйста, мое задание: https://znanija.com/task/41907626. Оно последнее в моих Вопросах на 100 баллов. Буду Вам невероятно благодарна! Заранее спасибо.
Вас заинтересует