• Предмет: Алгебра
  • Автор: Аноним
  • Вопрос задан 3 года назад

пожалуйста
отдала последние баллы​

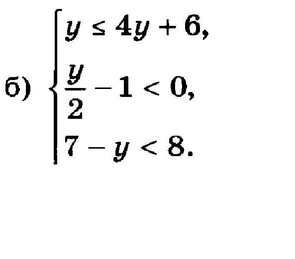
Приложения:

Ответы

Ответ дал: sfbu51zhurahonovspdu
1

Объяснение:

(-1;2)

...............

Вас заинтересует