• Предмет: Алгебра
  • Автор: artureprikan2007
  • Вопрос задан 3 года назад

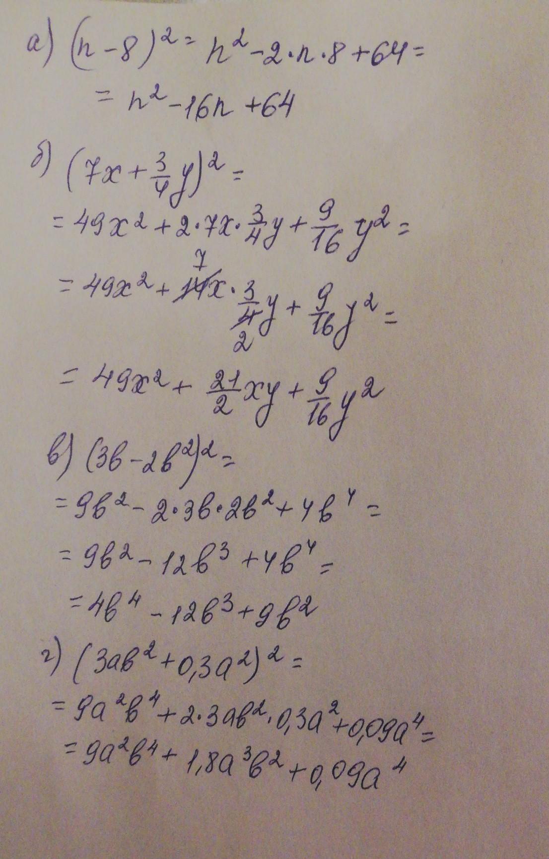
Преобразуйте в многочлен с помощью формул сокращённого умножения. Примеры на фотке #2.

Приложения:

Ответы

Ответ дал: serovaksusa1
1

Ответ:

Смотри решение на фото

Приложения:
Вас заинтересует