• Предмет: Алгебра
  • Автор: slavyanski
  • Вопрос задан 3 года назад

Помогите пожалуйста привести многочлен к сдандартному виду
Даю 40 баллов

Приложения:

Ответы

Ответ дал: anastasia301007
1

Ответ:

Приведём подобные, сложив коэффициенты при различных степенях переменной.

(2/3 + 1/6) * а^2 + (1/4 + 0,8 - 1) * a.

Приведём дроби к общему знаменателю.

(4/6 - 1/6) * а^2 + (0,25 + 0,8 - 1) * a.

Выполним действия в скобках.

3/6 * а^2 + 0,05 * a.

Вынесем переменную за скобки.

a * (0,5 * a + 0,05)

Найдём значение выражения при a = - 0,2.

- 0,2 * (0,5 * (- 0,2) + 0,05) = - 0,2 * (- 0,1 + 0,05) = - 0,2 * (- 0,05) = 0,01.

Ответ: 0,01.

Ответ дал: parus77
0

Ответ:

0,01

Объяснение:

решение внизу

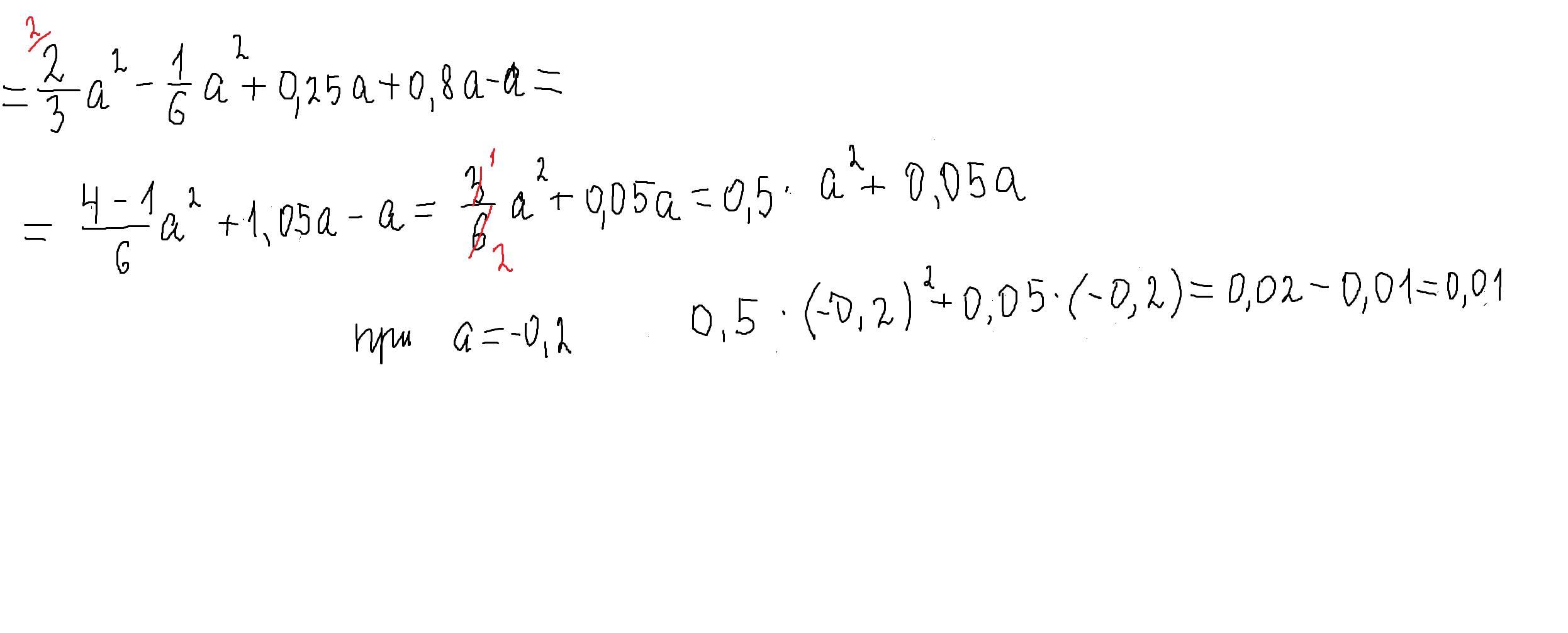
Приложения:
Вас заинтересует