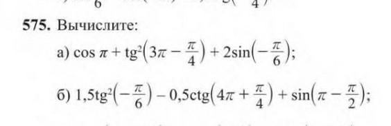
ПОЖАЛУЙСТА ПОМОГИТЕ РЕШИТ ЗАДАЧИ ПО ТРИГАНАМЕТРИИ ОООЧЕНЬ СРОЧНО УМОЛЯЮ. 575 а);б).
Приложения:

Ответы
Ответ дал:
0
Ответ:
Пошаговое объяснение:
Приложения:

Вас заинтересует
2 года назад
2 года назад
2 года назад
9 лет назад