Ответы
Ответ дал:
4
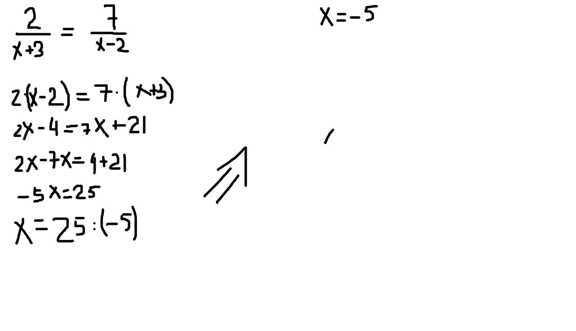
Ответ: х= -5
Объяснение: на фото ↓↓
Приложения:

gulnara1971mama:
yy
Вас заинтересует
2 года назад
2 года назад
2 года назад
2 года назад
8 лет назад
8 лет назад
9 лет назад