• Предмет: Алгебра
  • Автор: vikanikolaeva3
  • Вопрос задан 3 года назад

помогите,пожалуйста!!!

найти первообразную функций:

Приложения:

Ответы

Ответ дал: Miroslava227
0

Ответ:

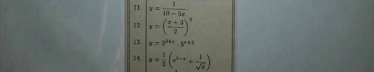
11.

F(x) = \int\limits \frac{dx}{10 - 5x}  =  -  \frac{1}{5} \int\limits \frac{d(10 - 5x)}{1 0 - 5x}  =  \\  =  -  \frac{1}{5}  ln(10 - 5x)  + c

12.

F(x) = \int\limits {( \frac{x + 3}{2}) }^{2} dx = \int\limits \frac{ {(x + 3)}^{2} }{4} dx =  \\  =  \frac{1}{4} \int\limits  {(x + 3)}^{2} d(x + 3) =  \frac{1}{4}  \times  \frac{ {(x + 3)}^{3} }{3}  + c =  \\  =  \frac{ {(x + 3)}^{3} }{12}  + c

13.

F(x) = \int\limits( {2}^{x + 3}  \times  {5}^{x+ 2} )dx = \int\limits2 \times  {2}^{2 + x}  \times  {5}^{2 + x} dx =  \\  = 2\int\limits {10}^{2 + x} d(2 + x) =  \frac{2}{\ln(10)} \times  {10}^{2 + x}  + c

14.

F(x) = \int\limits \frac{1}{3} ( {e}^{1 - x}  +  \frac{1}{ \sqrt{x} } )dx =  \\  =  \frac{1}{3} ( - \int\limits {e}^{1 - x} d(1 - x) +  \frac{ {x}^{ \frac{1}{2} } }{ \frac{1}{2} } ) + c =  \\  =  -  \frac{1}{3}  {e}^{1 - x}  +  \frac{2}{2}  \sqrt{x}  + c

Вас заинтересует