• Предмет: Математика
  • Автор: yaroslavtyutin210304
  • Вопрос задан 3 года назад

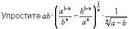
Упростите выражение, пожалуйста.

Приложения:

Ответы

Ответ дал: fk040826
1

Ответ:

Пошаговое объяснение:

Вот решение

Приложения:
Вас заинтересует