• Предмет: Математика
  • Автор: Аноним
  • Вопрос задан 3 года назад

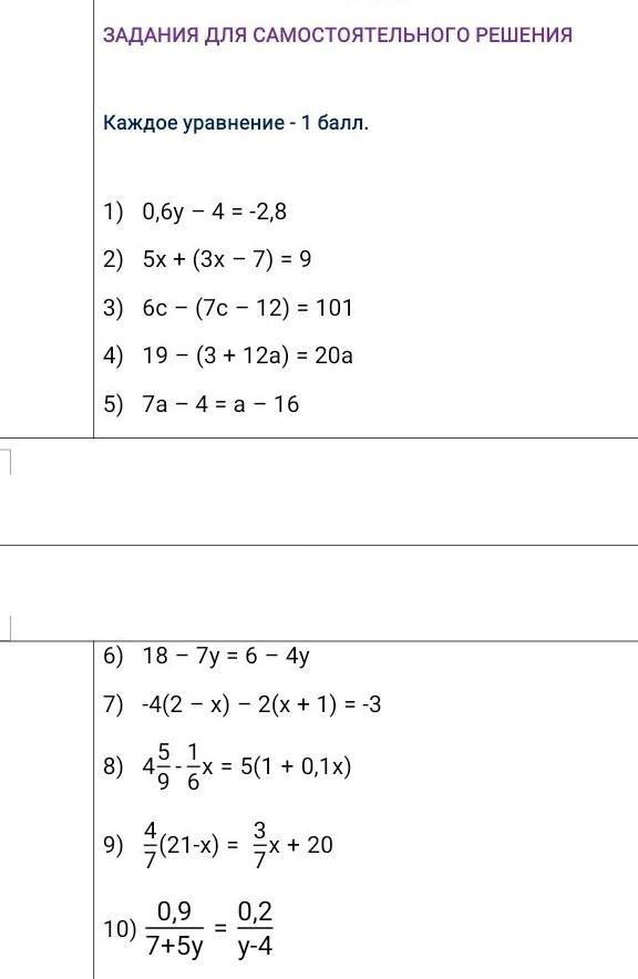
РЕБЯТА ПОМОГИТЕ ПОЖАЛУЙСТА ХОТЯ БЫ 5 УРАВНЕНИЙ:(( ПОЖАЛУЙСТА А ТО УЧИТЕЛЯ РУГАЮТСЯ, СКАЗАЛИ ДО 15 00 РЕШИТЬ​

Приложения:

Ответы

Ответ дал: kirillpexe
0

Ответ:

1)0,6y=4-2,8

0,6y=1,2

y=2

2)5x+3x-7=9

8x=16

x=2

3)6c-7c+12=101

-c=89

c=-89

4)19-3-12a=20a

-32a=-16

a=0,5

5)7a-4=a-16

6a=-12

a=-2

6)18-7y=6-4y

-3y=-12

y=4

7)-8+4x-2x-2=-3

2x=7

x=3,5

8)

Вас заинтересует