• Предмет: Математика
  • Автор: daniilzverevmax1901
  • Вопрос задан 3 года назад

Прошу помогите мне с заданием по Математике,даю 30 балов​

Приложения:

Ответы

Ответ дал: alex20kx
1

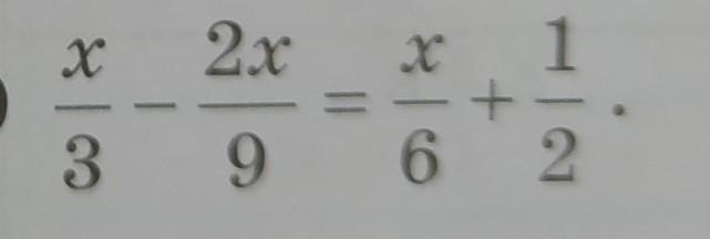
\frac{x}{3} - \frac{2x}{9} = \frac{x}{6} + \frac{1}{2}

\frac{3x-2x}{9} = \frac{x+3}{6}

\frac{x}{9} = \frac{x+3}{6}

\frac{x+3}{6} = \frac{x}{9}

6* \frac{x+3}{6} = 6* \frac{x}{9}

x+3 = \frac{2x}{3}

x = \frac{2x}{3} - 3

x = \frac{2x-9}{3}

3x = 2x-9

3x-2x = -9

x = -9

Вас заинтересует