• Предмет: Алгебра
  • Автор: nactya201613
  • Вопрос задан 3 года назад

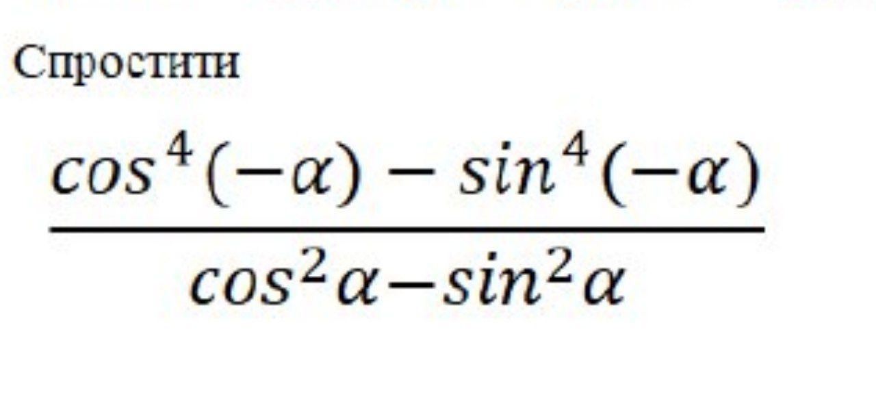
Спростити :
Завдання на фото

Приложения:

Ответы

Ответ дал: Mygivarades
0

Ответ:

1. (cos(-x)^2 - sin(-x)^2) * (cos(-x)^2 + sin(-x)^2) / cos(2x)

2. (cos(-2x) * 1) / cos(2x)

3. cos2x/cos2x

4. 1

Объяснение:

1. a^2-b^2=(a-b)(a+b) а в низу cos(t)^2 - sin(t)^2=cos(2t)

2. вверху cos(t)^2 - sin(t)^2=cos(2t) и cos(t)^2+ sin(t)^2=1

Вас заинтересует