Ответы
Ответ дал:
0
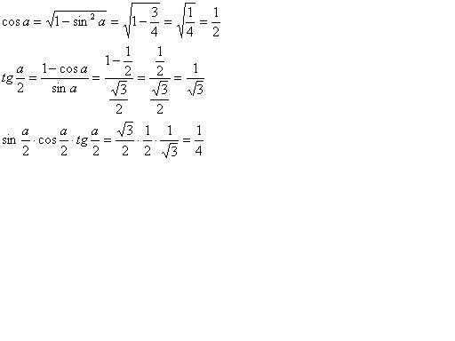
sina=√3/2, cosa=√1-cos^2a=√1-3/4=√1/4=1/2
tg(a/2)=(1-cosa)/sina=(1-1/2)/√3/2=1/√3
sin(a/2) cos(a/2) tg(a/2)=√3/2*1/2*1/√3=1/4
tg(a/2)=(1-cosa)/sina=(1-1/2)/√3/2=1/√3
sin(a/2) cos(a/2) tg(a/2)=√3/2*1/2*1/√3=1/4
Приложения:
Ответ дал:
0
Спасибо большое тебе!!!
Вас заинтересует
3 года назад
3 года назад
8 лет назад
8 лет назад
11 лет назад
11 лет назад
11 лет назад
11 лет назад