• Предмет: Математика
  • Автор: Аноним
  • Вопрос задан 3 года назад

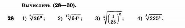
Вычислить
ПОМОГИТЕ!!!!!​

Приложения:

Ответы

Ответ дал: alinnaaleksenko
0

Ответ:

Ответ прикрепила файлом)

Пошаговое объяснение:

Приложения:
Вас заинтересует