Ответы
Ответ дал:
1
Объяснение:
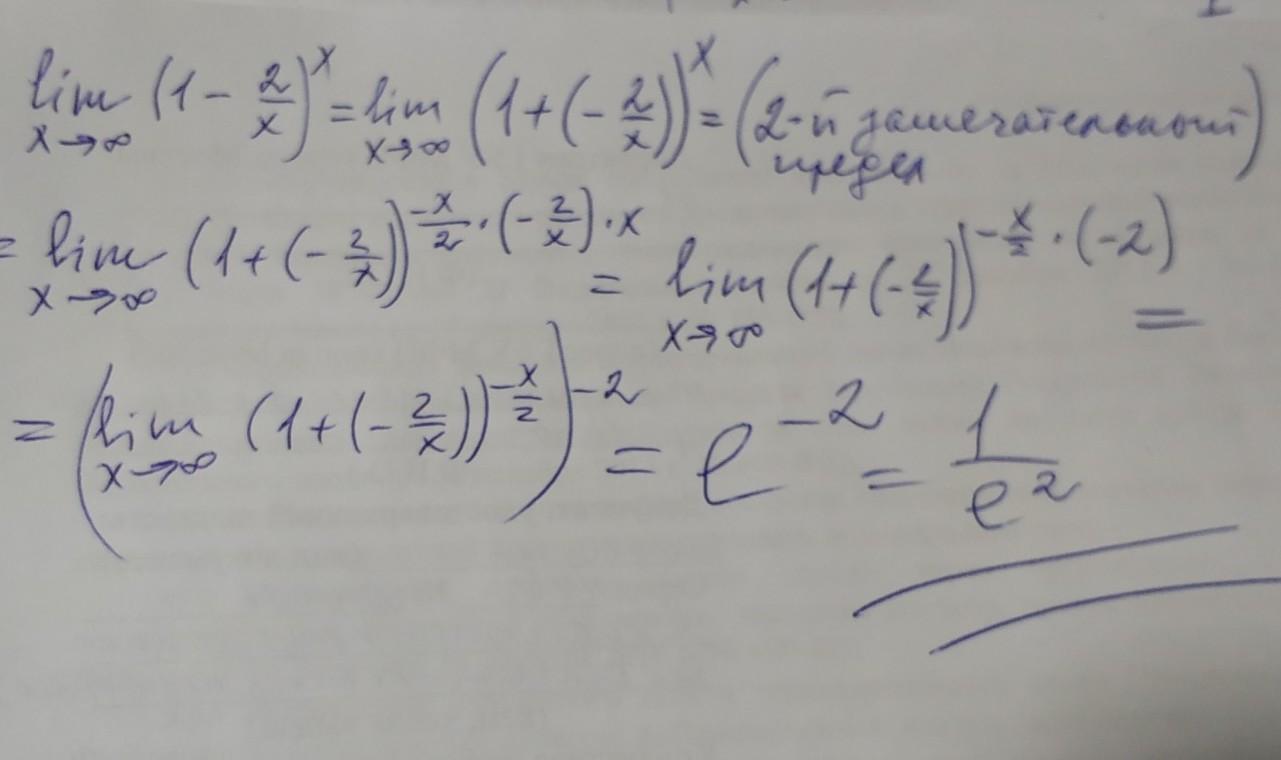
решение во вложении (4 фото)
второй вариант аналогично
Приложения:




Вас заинтересует
2 года назад
2 года назад
2 года назад
2 года назад
8 лет назад
9 лет назад
9 лет назад