• Предмет: Математика
  • Автор: elizabeth6458
  • Вопрос задан 3 года назад

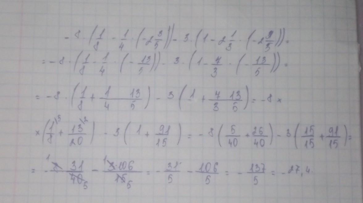
Найти значение выражения при y = - 2 3/5 СРОЧНО!!! ПОЖАЛУЙСТА​

Приложения:

Ответы

Ответ дал: hellokittymira
0

Ответ:

не уверена,что правильно,но вот

Приложения:
Вас заинтересует