• Предмет: Математика
  • Автор: abdunosirovaxalima
  • Вопрос задан 3 года назад

Тетя Озода приготовила 20 блинов. Азиза съела три десятых, Наргиза четыре десятых, а Дильноза-одну десятую всех блинов. Сколько блинов осталось? С условием пожалуйста Это контрольная умаляю быстрее пожалуйста.​

Ответы

Ответ дал: antonio40000
8

Ответ:

осталось 6 блинов

Пошаговое объяснение:

3/10=6/20=6(блинов)- съела Азиза

4/10=8/20=8(блинов)- съела Дильноза

6+8=14(блинов)- всего съедено

20-14=6(блинов)- осталось


suleimanovay05: Наргиза съела 4 десятых, а Дильноза одну десятую. Вы неправильно решили
Ответ дал: suleimanovay05
3

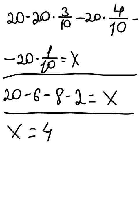
Ответ: 4 блинов

Пошаговое объяснение:

Приложения:

abdunosirovaxalima: Всем огромное спасибо
Вас заинтересует