Ответы
Ответ дал:
1
Ответ:
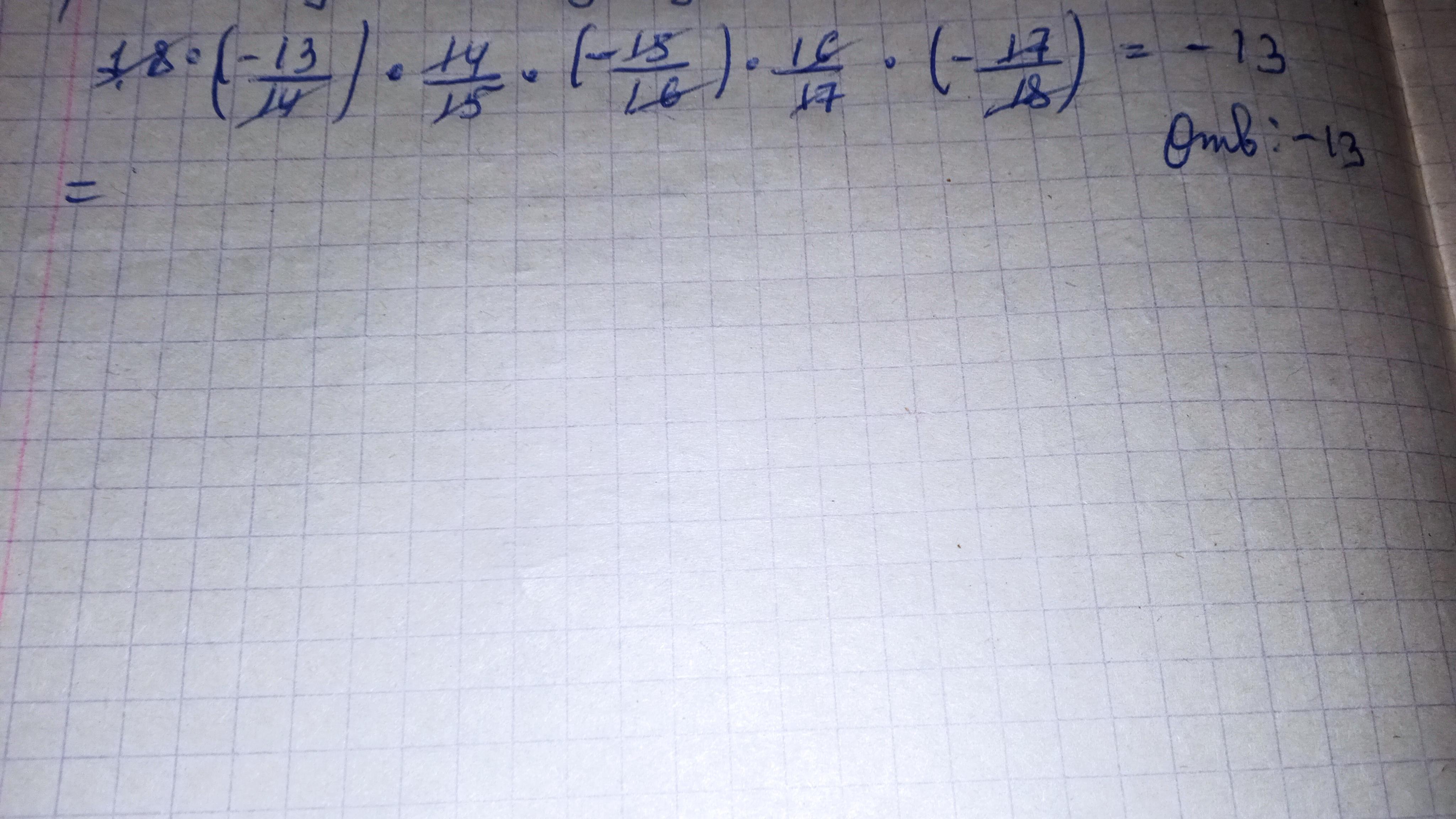
Ответ-13
Пошаговое объяснение:
Приложения:

Ответ дал:
1
Ответ:
Пошаговое объяснение:
=-13
18 и 18 сокращается
14 и 14 сокращается
15 и 15 сокращается
16 и 16 сокращается
17 и 17 сокращается
Вас заинтересует
2 года назад
2 года назад
2 года назад
2 года назад
8 лет назад
9 лет назад