• Предмет: Математика
  • Автор: aitenirduulatovna
  • Вопрос задан 3 года назад

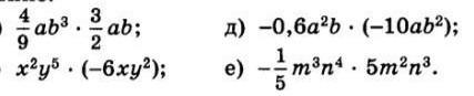
помогите решить вот эти вопросы пожалуйста​

Приложения:

Ответы

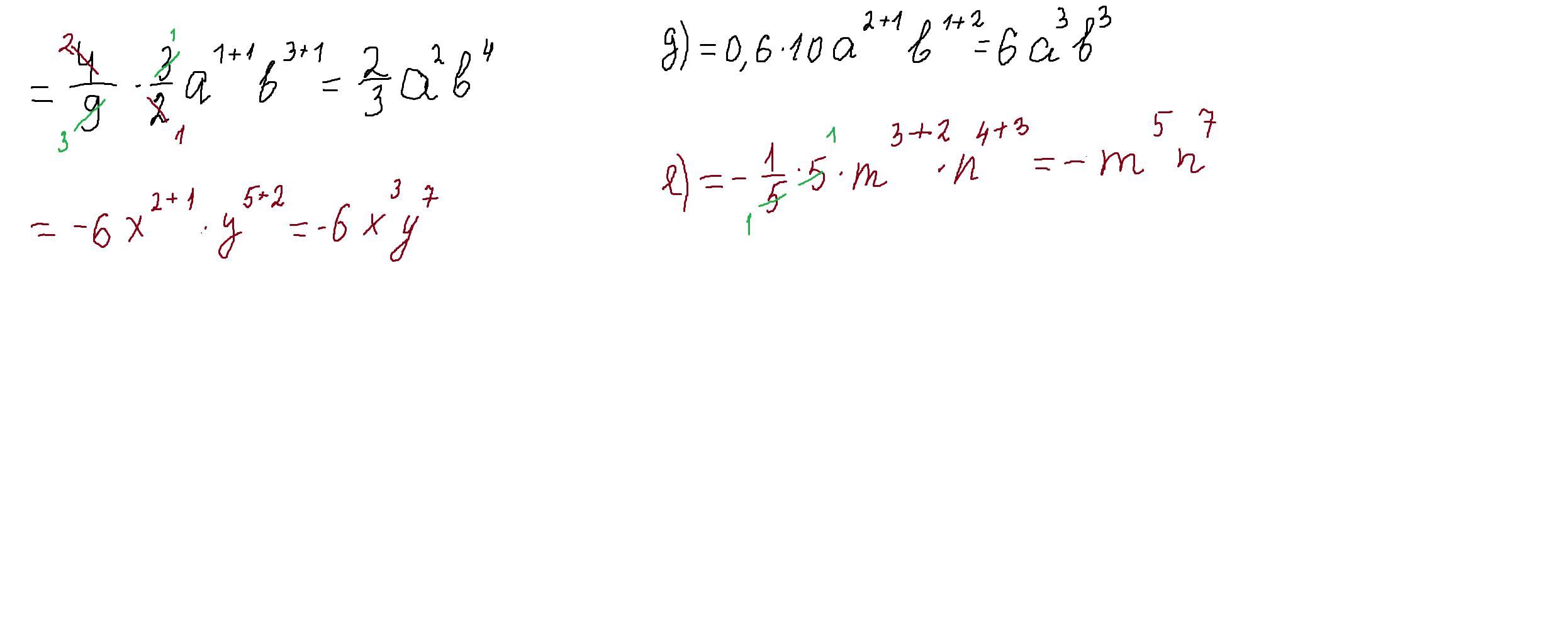
Ответ дал: parus77
0

Ответ:

Пошаговое объяснение:

решение примеров внизу

Приложения:
Вас заинтересует