• Предмет: Алгебра
  • Автор: luna9305000
  • Вопрос задан 3 года назад

ГЛАВНЫЙ МОЗГ,СПАСИ,10 КЛАСС,АЛГЕБРА​

Приложения:

Ответы

Ответ дал: Brilliantstar
1
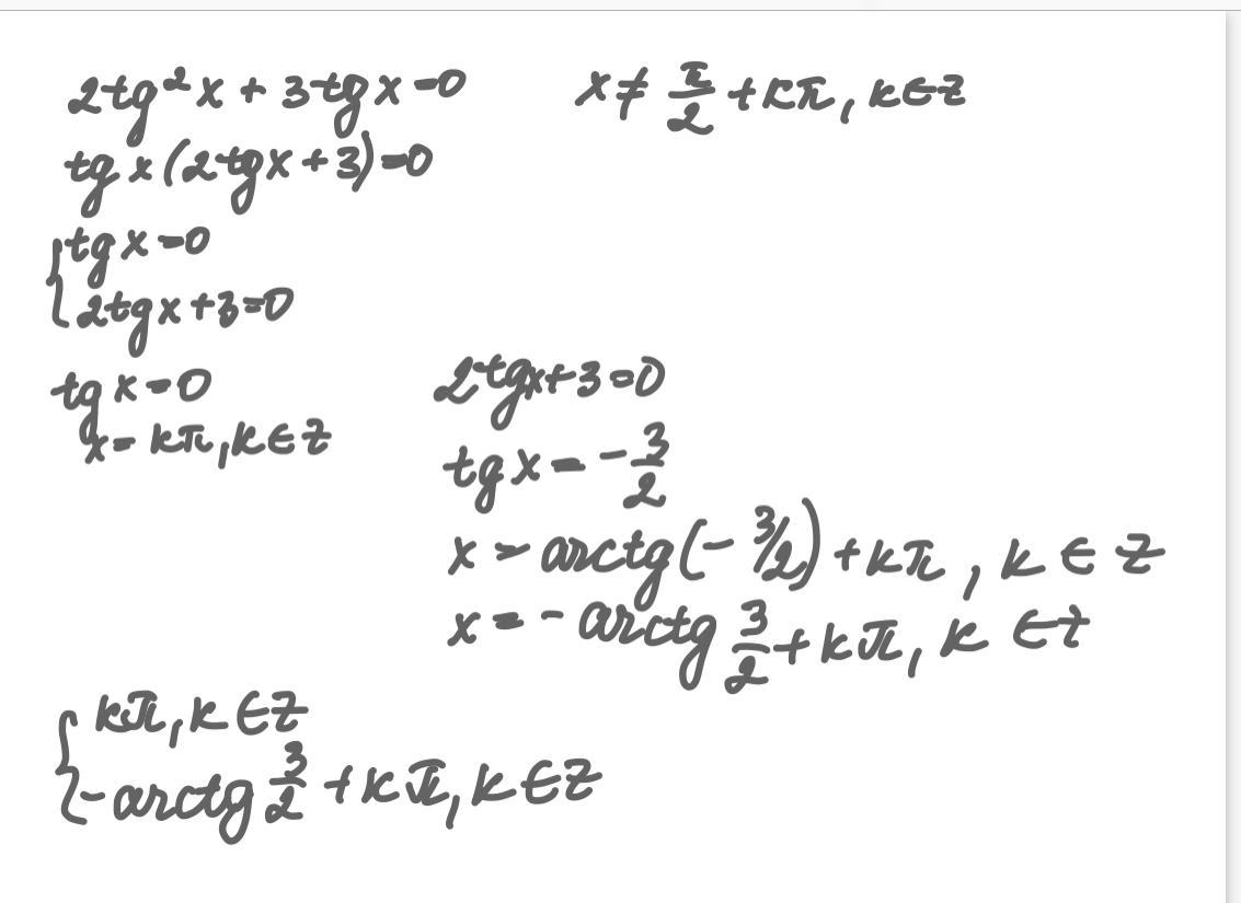
Старалась максимально расписать, так что вот ответ
Приложения:
Вас заинтересует