• Предмет: Геометрия
  • Автор: cc373006
  • Вопрос задан 3 года назад

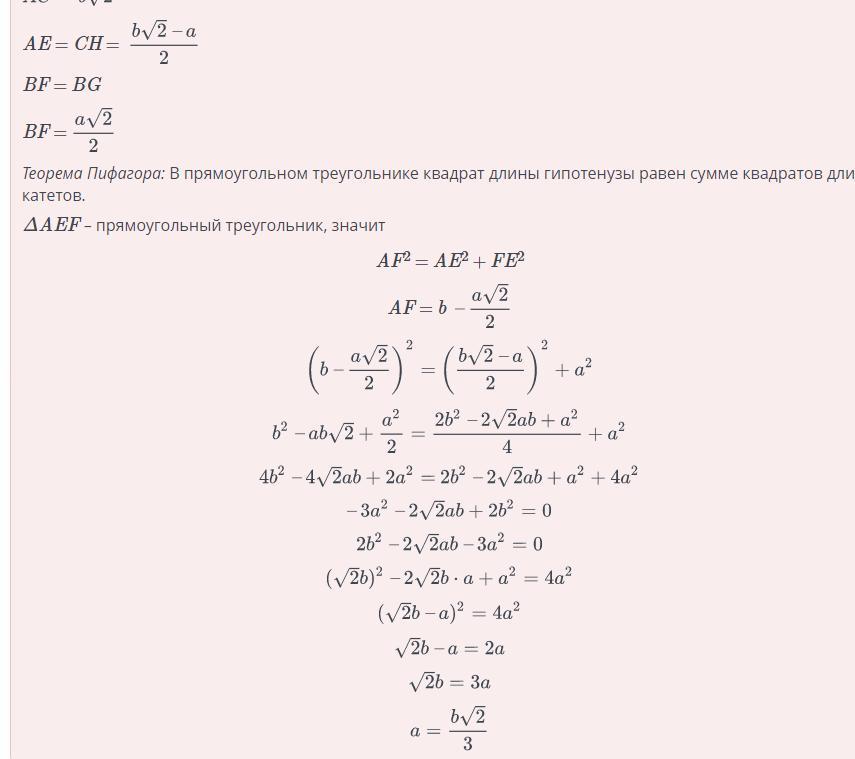
Площадь квадрата. Площади равносоставленных фигур 2. Урок 3 АВCD- квадрат со стороной b. АС- диагональ квадрата. ЕFGH- квадрат со стороной а. Вырази а через б.​

Приложения:

Ответы

Ответ дал: 09876543345гш
6

Ответ:.......

Объяснение:

Приложения:

cc373006: эээм в вариантах нет такого ответа
efimovaeva07: будет х=1±√2/2
Retsept: ķotaķ sygŷn
Ответ дал: Nuralink
20

Ответ:

вот

Объяснение:

Приложения:

cc373006: Спасибо огромное
pro3332: в 7 какой ответ скажите
Mery815: в 7 ответ будет x=1+корень 2/2
Вас заинтересует