линейное уравнение с одной переменной. Родственные уравнения. решение линейных уравнений с одной переменной. урок 5 

Помагите пожалуйста срочно нужен 
                        
                                    Приложения:
                    
                            Ответы
                                            Ответ дал: 
                                                                                    
                                        
                                            
                                                
                                                
                                                
                                                    3
                                                
                                            
                                        
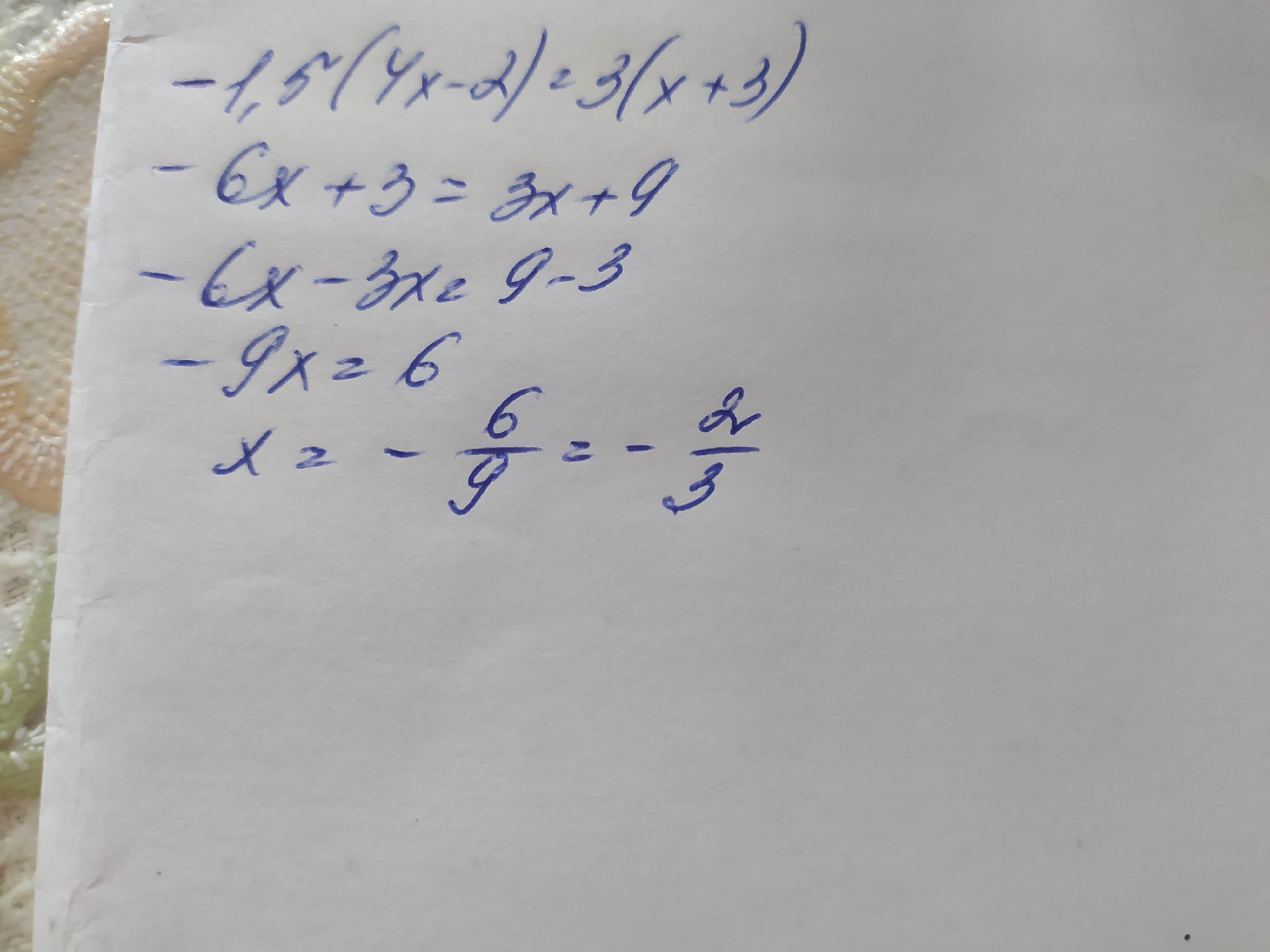
                                    Ответ:
Пошаговое объяснение:
Приложения:
                    
                            
                    alibikural:
                    спс
                
            Вас заинтересует
                
                        2 года назад
                    
                
                        2 года назад
                    
                
                        2 года назад
                    
                
                        2 года назад
                    
                
                        8 лет назад
                    
                
                        8 лет назад
                    
                
                        9 лет назад
                    
                
                        9 лет назад