ПОМОГИТЕ ПРЯМ СРОЧНО
3 относится к 5 как 9 относится к 15
1/7 относится к 5 как 1 относится к 35
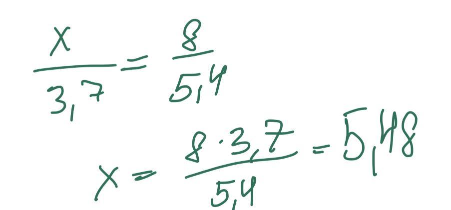
x относится к 3.7 как 8 относится к 5.4
Ответы
Ответ дал:
2
Вот ответ
Просто пропорция
Просто пропорция
Приложения:

Brilliantstar:
Поставьте как лучший ответ
Вас заинтересует
2 года назад
7 лет назад
7 лет назад