• Предмет: Математика
  • Автор: vladislav1020
  • Вопрос задан 3 года назад

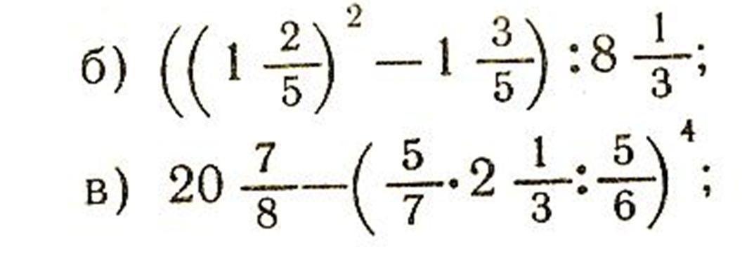
помогите плис 2 примера решить просто ответ 25 баллов дам

Приложения:

vladislav1020: даже в коменты напишите
miki68: =27/625, =4 7/8
mussayevaaktoty: в) 159/8=19 7/8
vladislav1020: да хотябы б решитеъ\
vladislav1020: спасибо

Ответы

Ответ дал: mussayevaaktoty
2

Пошаговое объяснение:

б) (49/25-40/25)*3/25=9/25*3/25=27/625

в) 167/8-(5/7*7/6*6/5)⁴=167/8-1=159/8


miki68: во втором ошибся, там получается 2 в 4 степени в скобках, а у тебя 1
mussayevaaktoty: (5/7*7/6*6/5)⁴=(1)⁴=1
vladislav1020: спасибо бро
Вас заинтересует