Ответы
Ответ дал:
1
Ответ:
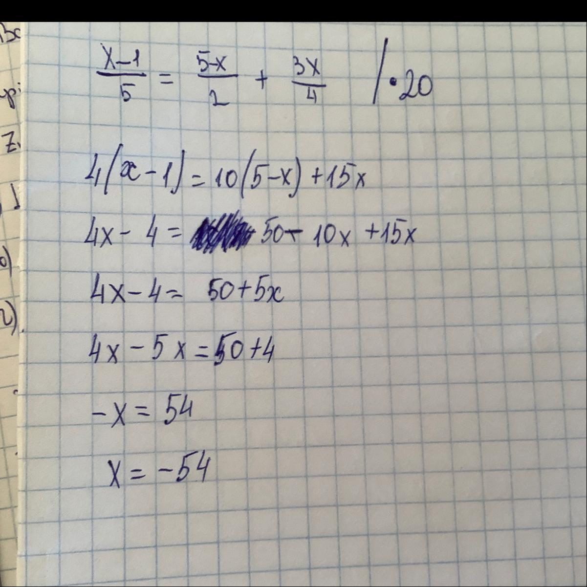
x = -54
Объяснение:
(x-1)/5 = (5-x)/2 + 3x/4 <=> 4(x-1) = 10(5-x) + 15x <=>
4x - 4 = 50 - 10x + 15x <=> x = -54
Ответ дал:
0
все указанно на фото
Приложения:

Вас заинтересует
2 года назад
2 года назад
2 года назад
7 лет назад
9 лет назад