• Предмет: Алгебра
  • Автор: sobakazabiyaka
  • Вопрос задан 3 года назад

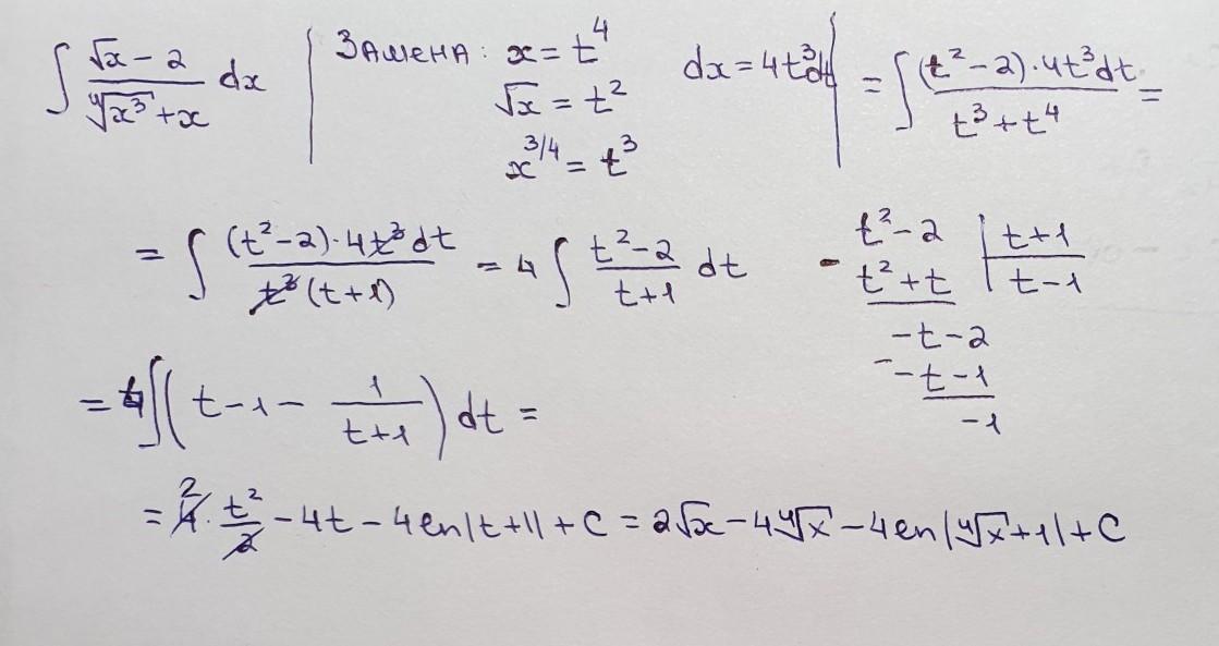
Вычислите интеграл
\int\limits {\frac{\sqrt{x} -2}{\sqrt[4]{x^3} +x} } \, dx

Ответы

Ответ дал: Miroslava227
2

Ответ:

решение на фотографии.

Приложения:
Вас заинтересует