• Предмет: Математика
  • Автор: g0sha666
  • Вопрос задан 3 года назад

помогите пж нужно сдать за 15мин. ​

Приложения:

Ответы

Ответ дал: Avantgardе
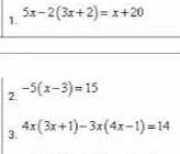
2

5x-2(3x+2)=x+20\\5x-6x-4-x=20\\-2x=24\\x=-12

-5(x-3)=15\\-5x+15=15\\-5x=0\\x=0

4x(3x+1)-3x(4x-1)=14\\12x^2+4x-12x^2+3x=14\\7x=14\\x=2

Вас заинтересует