Ответы
Ответ дал:
0
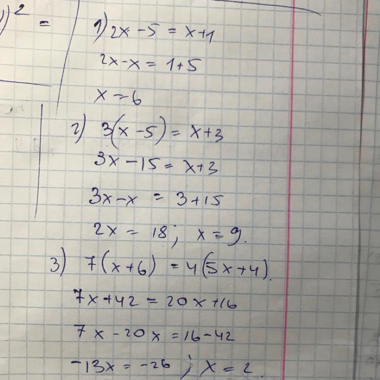
1) х=6; 2) х=9; 3) х=2; 4) х=-2; 5) х=-3; 6) х=4
Приложения:

sharovamarinka20:
4) 1,5х +12 = -4х+1, 1,5х+4х=1-12, 5,5х=-11; х=-2
Вас заинтересует
2 года назад
2 года назад
2 года назад
2 года назад
8 лет назад
8 лет назад
9 лет назад
9 лет назад