• Предмет: Математика
  • Автор: ymni66
  • Вопрос задан 3 года назад

СРОЧНО КАКОЙ КАКОЙ ОТВЕТ??!! ​

Приложения:

Ответы

Ответ дал: nikto0q
0

Ответ:

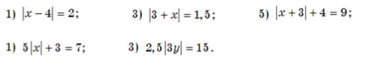
1) |х-4| = 2

х = 2+4

х = 6

|х-4| = -2

х = -2+4

х = 2

1) 5|х| + 3 = 7

5|х| = 4

х = 4:5

х = 0,8

х = -0,8

3) |3+х| = 1,5

х = 1,5 - 3

х = -1,5

|3+х| = -1,5

х = -1,5-3

х = -4,5

3) 2,5|3у| = 15

2,5 * 3 * у = 15

7,5 * у = 15

у = 15:7,5

у = 2

у = -2

5) |х+3|+4=9

|х+3| = 5 |х+3| = -5

х = 5-3 х = -5-3

х = 2 х = -8

Вас заинтересует