• Предмет: Математика
  • Автор: kurales19
  • Вопрос задан 3 года назад

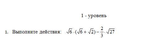
помогите пожалуйста с математикой дам 10 б
помогите пожалуйста

Приложения:

kurales19: пожалуйста помогите
kurales19: кто нибуть помогите выполнить это действие

Ответы

Ответ дал: karamelka667
0

Ответ:

/6×(/6+/2)-2_3 × 27=/6+/6+/2-2×9=-/2-2×9=-/2-18

ответ:-/2-18

Вас заинтересует