Помогите я просто плохо понимаю (
Приложения:

alisamirosnicenko91:
Буду рада если поможете
Ответы
Ответ дал:
1
Пошаговое объяснение:
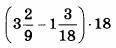
(3 2/9- 1 3/18)*18
(29/9-21/18)*18
37/18 *18
=37
/- Это дробь
Ответ дал:
1
Ответ:
37
Пошаговое объяснение:
Вас заинтересует
2 года назад
2 года назад
2 года назад
8 лет назад
8 лет назад
9 лет назад