• Предмет: Алгебра
  • Автор: jayone
  • Вопрос задан 11 лет назад

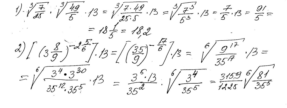
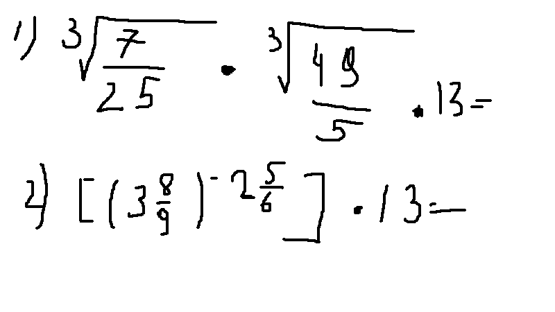
Вычислите............

Приложения:

Ответы

Ответ дал: NNNLLL54
0
Ответ смотри во вложении   
Приложения:
Ответ дал: Vladislav006
0
Решение представлен иже в приложении
Приложения:
Вас заинтересует