Углы а=45° и b=30° имеют общую вершину и общий луч. Сколько градусов в объединении этих углов? А в пересечении?
bauyrzanaru:
Сейчас решу
Ответы
Ответ дал:
2
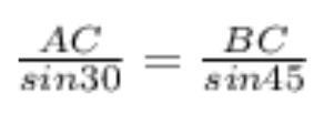
Ответ:Используем теорему синусов: стороны треугольника пропорциональны синусам противолежащих углов, т.е.
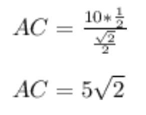
АС = 10*1/2 разделить на корень из двух деленное на два и получается пять корень из двух
Пошаговое объяснение:без объяснений ❤️
Приложения:


Вас заинтересует
2 года назад
2 года назад
2 года назад
2 года назад