• Предмет: Алгебра
  • Автор: vlada6918
  • Вопрос задан 3 года назад

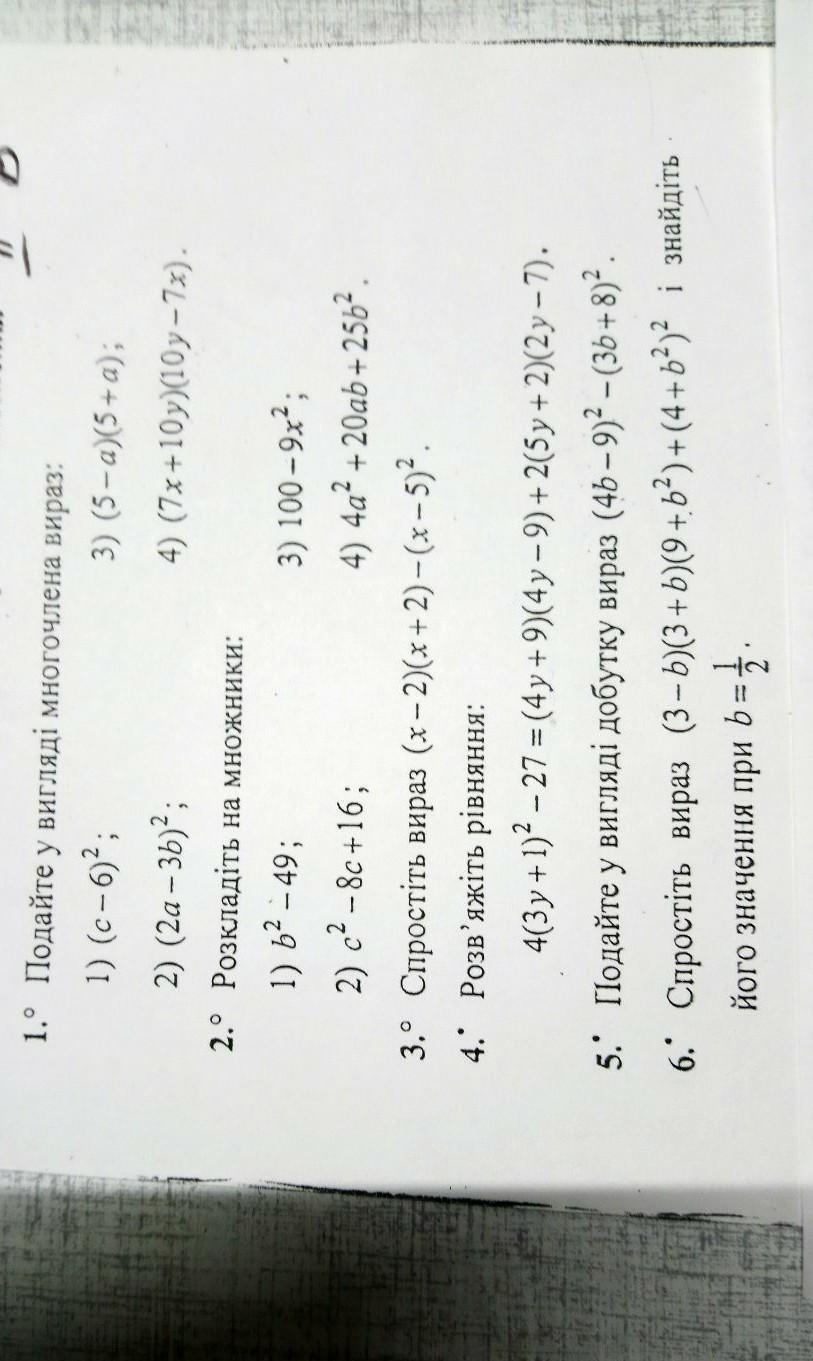
зделайте пожалуйста хоть что-то начиная со второго​

Приложения:

pams: сейчас к себе в ответ скину ещё 5 задание

Ответы

Ответ дал: MarkusAzzi
2

b²-49=(b-7)(b+7)

c²-8c+16=(c-4)²

100-9x²=(10-3х)(10+3х)

4а²+20ab+25b²=(2a+5b)²

(x-2)(x+2) -(x-5)² =x²-4 - x²+10x-25 = 10x-29

Ответ дал: pams
1

Ответ:

2 фото с книги, ето просто пример

5 половина точно правильно, а 2 половина хз

Приложения:
Вас заинтересует