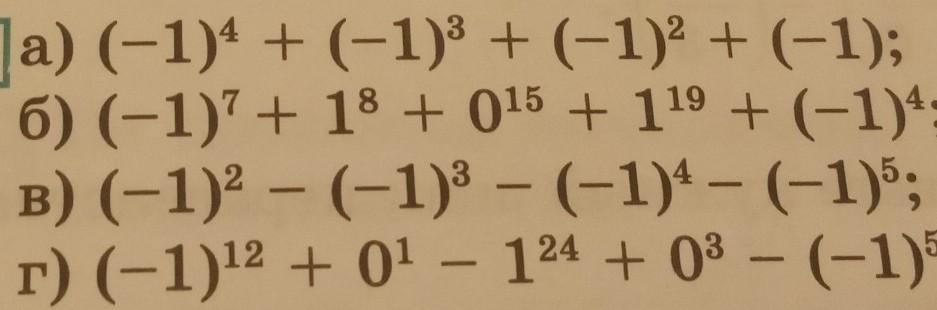
ВСЁ НА ФОТО. Помогите решить. 19.5 a) (-1)4 + (-1)3 + (-1)2 + (-1);
6) (-1)?+ 18 + 015 + 119 + (-1)4;
B) (-1)2 – (-1)3 – (-1)4 - (-1)";
T) (-1)12 + 01 – 124 + 03 - (-1)5.
Приложения:
Ответы
Ответ дал:
1
Ответ:
а) 0
б) 2
в) 3
г) 3
Пошаговое объяснение:
Ответ дал:
2
Знак ^ здесь показывает, что число возведено степень. После значка ^ пишется показатель степени.
a) (-1)^4 + (-1)^3 + (-1)^2 + (-1) +
= 1 - 1 + 1 - 1 = 0
б) (-1)^7 + 1^8 + 0^15 + 1^19 + (-1^)4 =
= -1 + 1 + 0 + 1 + 1 = 2
в) (-1)^2 - (-1)^3 - (-1)^4 - (-1)^5 =
= 1 - (-1) - 1 - (-1) = 1 + 1 - 1 + 1 = 2
г) (-1)^12 + 0^1 - 1^24 + 0^3 - (-1)^5 =
= 1 + 0 - 1 + 0 - (-1) = 1 - 1 + 1 = 1
a) (-1)^4 + (-1)^3 + (-1)^2 + (-1) +
= 1 - 1 + 1 - 1 = 0
б) (-1)^7 + 1^8 + 0^15 + 1^19 + (-1^)4 =
= -1 + 1 + 0 + 1 + 1 = 2
в) (-1)^2 - (-1)^3 - (-1)^4 - (-1)^5 =
= 1 - (-1) - 1 - (-1) = 1 + 1 - 1 + 1 = 2
г) (-1)^12 + 0^1 - 1^24 + 0^3 - (-1)^5 =
= 1 + 0 - 1 + 0 - (-1) = 1 - 1 + 1 = 1
Вас заинтересует
2 года назад
2 года назад
2 года назад
2 года назад
8 лет назад
9 лет назад