• Предмет: Алгебра
  • Автор: Garzas
  • Вопрос задан 3 года назад

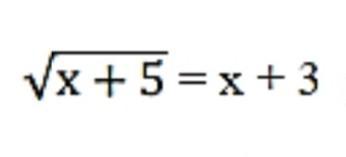
Помогите решить сумму корней уравнение с подробным решением ​

Приложения:

Ответы

Ответ дал: vityamath
0

Объяснение:

Решение на фотографии

Приложения:
Вас заинтересует