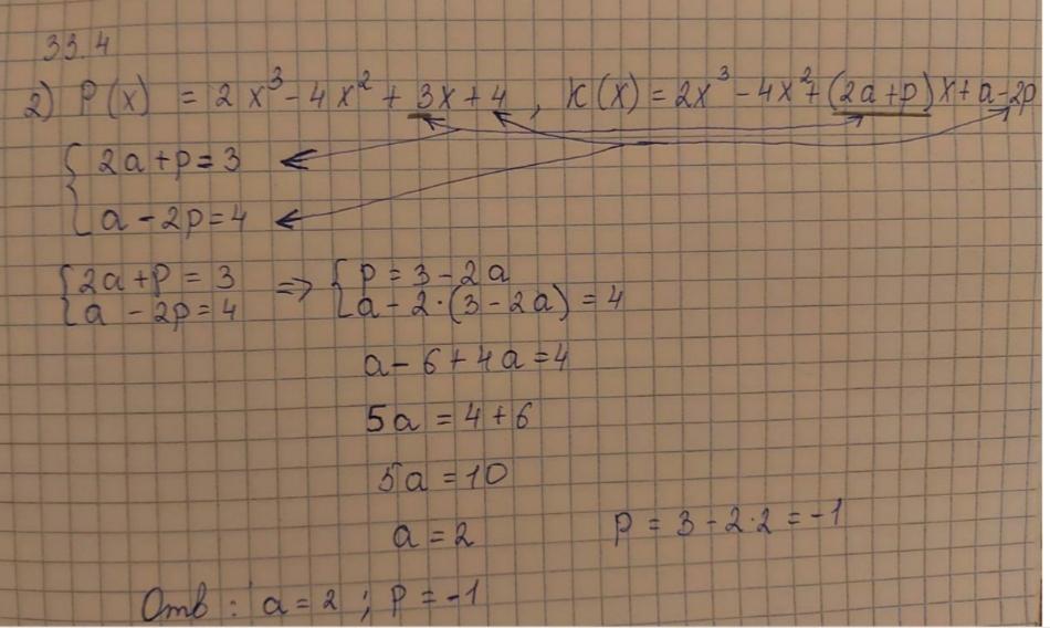
при каких значениях a и p равны многочлены p(x) и k(x)
p(x)=2x^3-4x^+3x+4, k(x)=2x^3-4x^+(2a+p)x+a-2p
Ответы
Ответ дал:
20
На фото.........................
Приложения:

Вас заинтересует
2 года назад
8 лет назад
8 лет назад
9 лет назад