Ответы
Ответ дал:
0
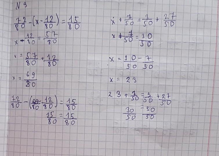
Это помойму провильно
Приложения:

Вас заинтересует
2 года назад
2 года назад
8 лет назад
9 лет назад
9 лет назад