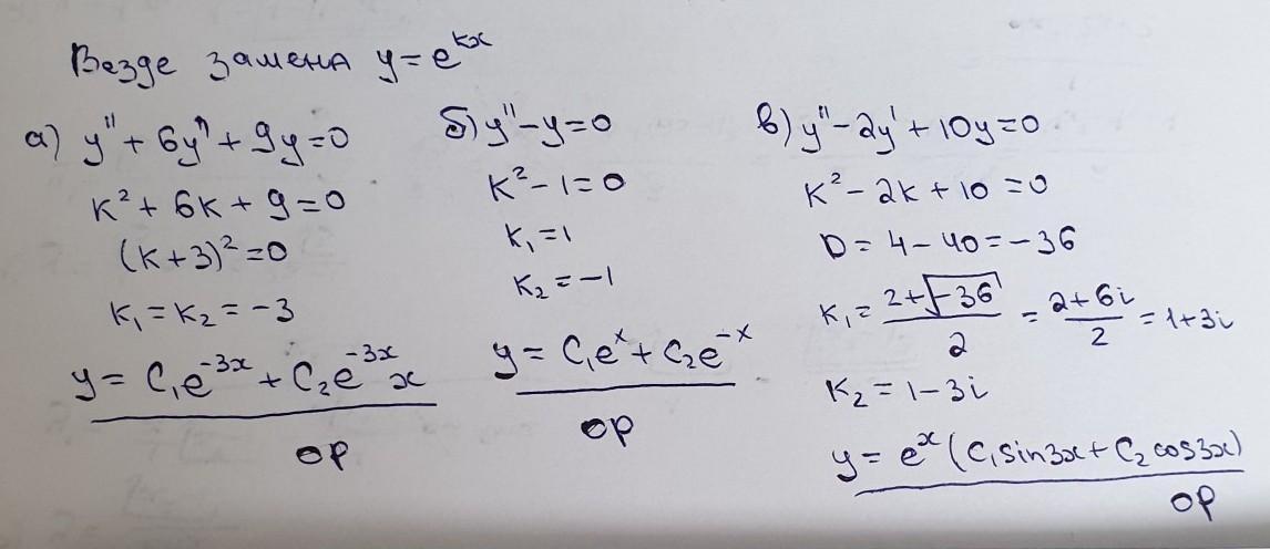
Найти общее решение линейного однородного дифференциального уравнения 2-го порядка:
а) y"+6y"+9y=0
б)y"-y=0
в)y"-2y"+10y=0
Ответы
Ответ дал:
1
Ответ:
решение на фотографии .
Приложения:

Аноним:
Miroslava227, привет, поможешь с алгеброй в профиле? пожалуйста скоро сдавать
Вас заинтересует
2 года назад
2 года назад
2 года назад
7 лет назад