• Предмет: Алгебра
  • Автор: skort159
  • Вопрос задан 3 года назад

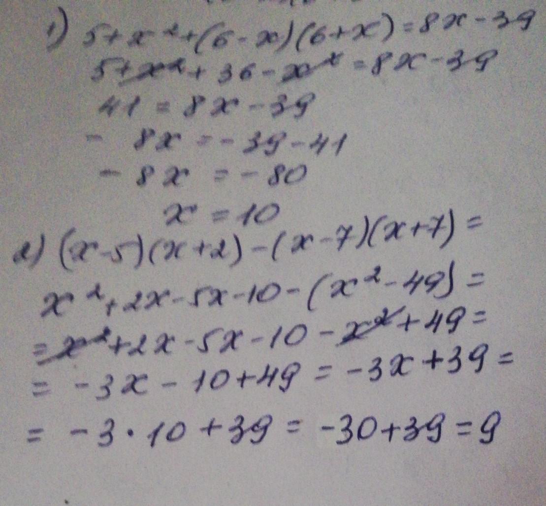
1)Розв'яжіть рівняння 5 + х2 + (6 - х)(6 + х) = 8х - 39

2)Знайдіть значення виразу (х - 5)( х + 2) - (х - 7)(х + 7), якщо х = 10 *

Ответы

Ответ дал: serovaksusa1
0

Ответ:

Смотри решение на фото

Приложения:
Вас заинтересует