• Предмет: Математика
  • Автор: aleksandrkrw
  • Вопрос задан 3 года назад

20 БАЛЛОВ, СРОЧНО. ЗАДАНИЕ НА ФОТО

Приложения:

Ответы

Ответ дал: kirichekov
0

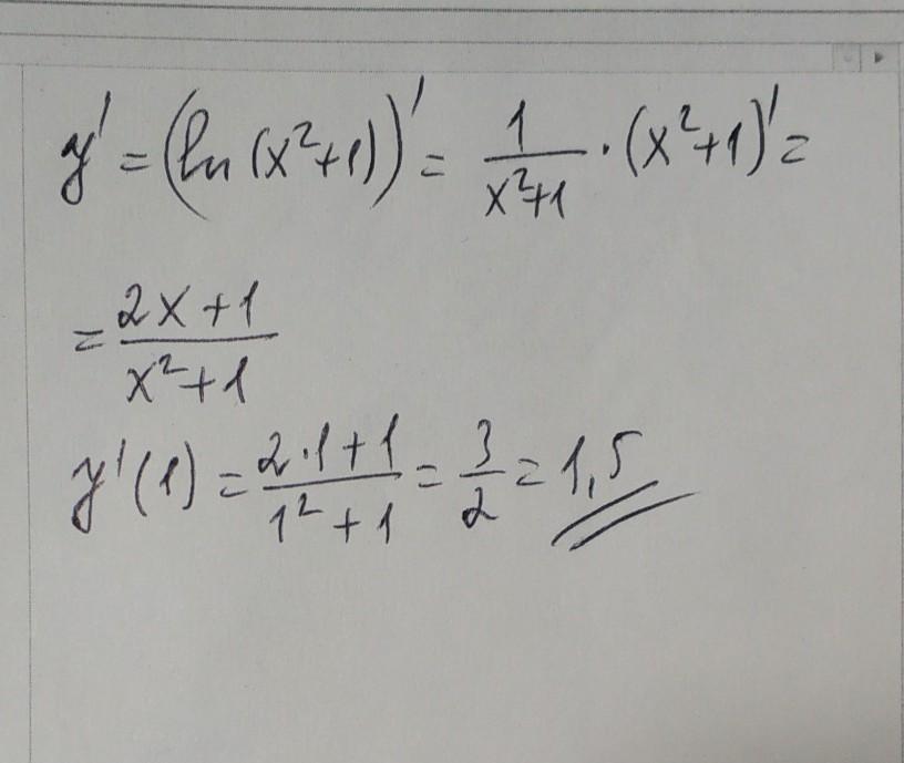
Ответ:

у'(1)=1,5

Пошаговое объяснение:

решение во вложении

Приложения:
Вас заинтересует