• Предмет: Математика
  • Автор: sulejmanovedem777
  • Вопрос задан 3 года назад

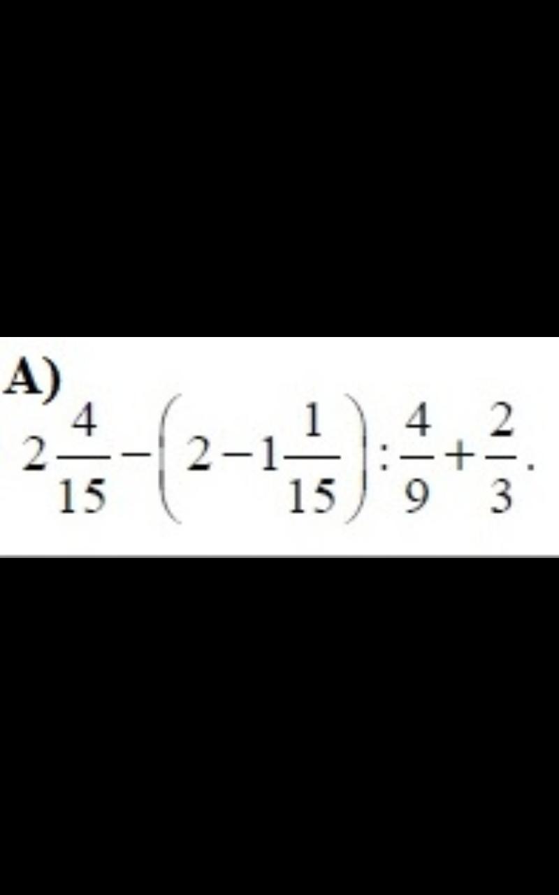
Помогите пж я умаляю даю 35 б помогитееееееееее!!!¡!!!!!!!!!!!¡!!!!!!

Приложения:

Ответы

Ответ дал: zuriatagabekova
1

Ответ:

Пошаговое объяснение:

Приложения:
Вас заинтересует