Ответы
Ответ дал:
4
Ответ:
вот ))....................
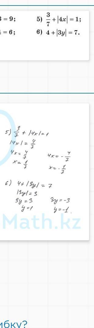
Приложения:


ballaksenia78:
у меня не получается
Вас заинтересует
2 года назад
2 года назад
8 лет назад
9 лет назад