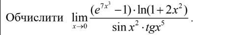
Здравствуйте нужно режить предел функции lim x->0 ((e^7x^3)-1)*ln(1+2x^2)/sin(x^2)*tg(x^5).Заранее спасибо!
Приложения:

Ответы
Ответ дал:
1
Ответ:
+∞
Объяснение:
Решение в приложенном файле
Приложения:

Вас заинтересует
2 года назад
2 года назад
2 года назад
7 лет назад
7 лет назад