Ответы
Ответ дал:
0
файл
---------------------------------------------------
Приложения:

Ответ дал:
0
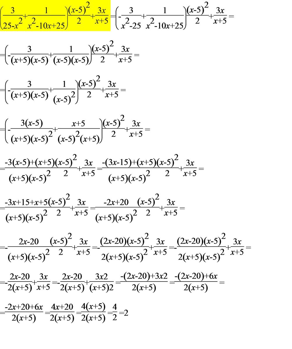
(3/((5-х)(5+х))+1/(х-5)^2)*(х-5)^2/2+3х/(х+5)=
(3(5-х)+5+х)/((5+х)(5-х)^2)*(х-5)^2/2+3х/(х+5)= (сократим (Х-5)^2)
(15-3х+5+х)/2(х+5)+3х/х+5=
(20-2х+6х)/2(х+5)=4(5+х)/2(х+5)=4/2=2
Приложения:

Вас заинтересует
2 года назад
8 лет назад
8 лет назад
10 лет назад
10 лет назад
10 лет назад
10 лет назад