• Предмет: Математика
  • Автор: asimovaa09
  • Вопрос задан 3 года назад

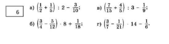
помогите пожалуйста пожалуйста​

Приложения:

Ответы

Ответ дал: karolinakamanchi
1

Ответ:

а) 7/10•1/2-3/10=7/20-3/10=1/20

б) 1/3•8+1/18=8/3+1/18=49/18=2 13/18

в)19/15•1/3-1/9=19/45-1/9=14/45

г) 8/21•14-1/6=8/3•2-1/6=16/3-1/6=31/6=5 1/6

Пошаговое объяснение:

Надеюсь помогла, хорошего дня

Вас заинтересует