Ответы
Ответ дал:
0
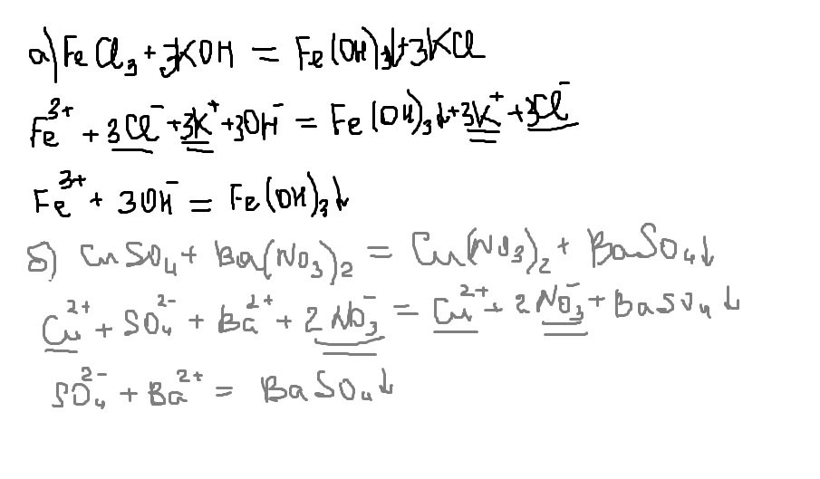
Fe(3+) + 3Cl(1-) + 3K(1+) + 3ОН(1-) = Fe(OH)3 + 3K(1+) + 3Cl(1-)
Fe(3+) + 3OH(1-) = Fe(OH)3
Cu(2+) + SO4(2-) + Ba(2+) + 2NO3(1-) = Cu(2+) + 2NO3(1-) + BaSO4
SO4(2-) + Ba(2+) = BaSO4
в скобках степени окисления.
Ответ дал:
0
Посмотри решение задания во вкладыше.
Приложения:

Вас заинтересует
2 года назад
2 года назад
8 лет назад
10 лет назад
10 лет назад
10 лет назад