• Предмет: Алгебра
  • Автор: sardorbekoffjon
  • Вопрос задан 3 года назад

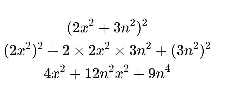
Представьте квадрат двучлена в виде многочлена.
(2x {}^{2} + 3n {}^{2} ) {}^{2}

​​

Ответы

Ответ дал: Аноним
1

мяу...........................

Приложения:
Вас заинтересует